GoGraph is a lightweight, efficient, and easy-to-use graph data structure implementation written in Go. It provides a versatile framework for representing graphs and performing various operations on them, making it ideal for both educational purposes and practical applications.
Use go get command to get the latest version of the gograph:
go get github.com/hmdsefi/gographThen you can use import the gograph to your code:
package main
import "github.com/hmdsefi/gograph"gograph contains the Graph[T comparable] interface that provides all needed APIs to
manage a graph. All the supported graph types in gograph library implemented this interface.
type Graph[T comparable] interface {
GraphType
AddEdge(from, to *Vertex[T], options ...EdgeOptionFunc) (*Edge[T], error)
GetAllEdges(from, to *Vertex[T]) []*Edge[T]
GetEdge(from, to *Vertex[T]) *Edge[T]
EdgesOf(v *Vertex[T]) []*Edge[T]
RemoveEdges(edges ...*Edge[T])
AddVertexByLabel(label T, options ...VertexOptionFunc) *Vertex[T]
AddVertex(v *Vertex[T])
GetVertexByID(label T) *Vertex[T]
GetAllVerticesByID(label ...T) []*Vertex[T]
GetAllVertices() []*Vertex[T]
RemoveVertices(vertices ...*Vertex[T])
ContainsEdge(from, to *Vertex[T]) bool
ContainsVertex(v *Vertex[T]) bool
}The generic type of the T in Graph interface represents the vertex label. The type of T
should be comparable. You cannot use slices and function types for T.
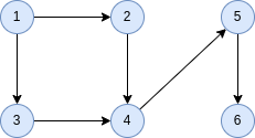
graph := New[int](gograph.Directed())
graph.AddEdge(gograph.NewVertex(1), gograph.NewVertex(2))
graph.AddEdge(gograph.NewVertex(1), gograph.NewVertex(3))
graph.AddEdge(gograph.NewVertex(2), gograph.NewVertex(2))
graph.AddEdge(gograph.NewVertex(3), gograph.NewVertex(4))
graph.AddEdge(gograph.NewVertex(4), gograph.NewVertex(5))
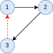
graph.AddEdge(gograph.NewVertex(5), gograph.NewVertex(6))graph := New[int](gograph.Acyclic())
graph.AddEdge(gograph.NewVertex(1), gograph.NewVertex(2))
graph.AddEdge(gograph.NewVertex(2), gograph.NewVertex(3))
_, err := graph.AddEdge(gograph.NewVertex(3), gograph.NewVertex(1))
if err != nil {
// do something
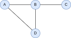
}// by default graph is undirected
graph := New[string]()
graph.AddEdge(gograph.NewVertex("A"), gograph.NewVertex("B"))
graph.AddEdge(gograph.NewVertex("A"), gograph.NewVertex("D"))
graph.AddEdge(gograph.NewVertex("B"), gograph.NewVertex("C"))
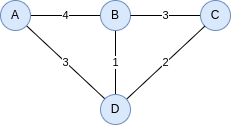
graph.AddEdge(gograph.NewVertex("B"), gograph.NewVertex("D"))graph := New[string]()
vA := gograph.AddVertexByLabel("A")
vB := gograph.AddVertexByLabel("B")
vC := gograph.AddVertexByLabel("C")
vD := gograph.AddVertexByLabel("D")
graph.AddEdge(vA, vB, gograph.WithEdgeWeight(4))
graph.AddEdge(vA, vD, gograph.WithEdgeWeight(3))
graph.AddEdge(vB, vC, gograph.WithEdgeWeight(3))
graph.AddEdge(vB, vD, gograph.WithEdgeWeight(1))
graph.AddEdge(vC, vD, gograph.WithEdgeWeight(2))graph := New[string]()
vA := gograph.AddVertexByLabel("A", gograph.WithVertexWeight(3))
vB := gograph.AddVertexByLabel("B", gograph.WithVertexWeight(2))
vC := gograph.AddVertexByLabel("C", gograph.WithVertexWeight(4))
graph.AddEdge(vA, vB)
graph.AddEdge(vB, vC)Traverse package provides the iterator interface that guarantees all the algorithm export the same APIs:
type Iterator[T comparable] interface {
HasNext() bool
Next() *gograph.Vertex[T]
Iterate(func(v *gograph.Vertex[T]) error) error
Reset()
}This package contains the following iterators:
- Breadth-First iterator
- Depth-First iterator
- Topological iterator
- Closest-First iterator
- Random Walk iterator
Apache License, please see LICENSE for details.




